الملخص التنفيذي:
يعاني الاقتصاد الليبي من تشوهات هيكلية عميقة، تتمثل في الاعتماد المفرط على النفط، وتضخم القطاع العام، ونظام دعم غير مستدام، وتشوه سعر الصرف، مما أدى إلى تضخم مكبوت وفقدان الثقة في العملة الوطنية. يقدم هذا البحث إطاراً نظرياً وتطبيقياً لإصلاح اقتصادي شامل في ليبيا، مسترشداً بالمبادئ الجوهرية التي قامت عليها “المعجزة الاقتصادية الألمانية” بعد إصلاح عام 1948. يجادل البحث بأن “علاجاً بالصدمة” منضبطاً، يجمع بين إصلاح نقدي جذري، وتحرير اقتصادي مدروس، وإعادة هيكلة مالية، يمكن أن يضع ليبيا على مسار الاستقرار والنمو المستدام. يتم تحليل الوضع الراهن بالأرقام والمعادلات، وتقديم آليات مقترحة مستوحاة من التجربة الألمانية ولكنها مصممة خصيصاً للواقع الليبي.
القسم 1: تشخيص الاقتصاد الليبي: أعراض التضخم المكبوت ودولة الريع
قبل وصف العلاج، لا بد من تشخيص دقيق للمرض الاقتصادي الليبي. يعاني الاقتصاد من مجموعة متزامنة من الأزمات التي تغذي بعضها البعض، مما يخلق حلقة مفرغة من عدم الاستقرار والركود.
1.1.التبعية المفرطة للنفط (اقتصاد الريع):
يعتمد الاقتصاد الليبي بشكل شبه كامل على قطاع المحروقات. تشير البيانات إلى أن قطاع النفط والغاز يمثل حوالي 60% من الناتج المحلي الإجمالي، و97% من الإيرادات العامة، و91% من الصادرات. هذا الاعتماد يجعل الميزانية العامة والاقتصاد ككل رهينة لتقلبات أسعار النفط العالمية والاضطرابات السياسية الداخلية التي تؤثر على الإنتاج. في عام 2024، بلغت إيرادات النفط 76.7 مليار دينار ليبي، وهو ما يمثل الغالبية العظمى من إجمالي إيرادات الدولة البالغة 123.5 مليار دينار.

1.2.الفائض النقدي وتشوه سعر الصرف:
على غرار ألمانيا ما بعد الحرب، تعاني ليبيا من “فائض نقدي” (Monetary Overhang). أدى الانقسام السياسي وتمويل العجز المالي عبر المصرف المركزي إلى توسع كبير في الكتلة النقدية. تشير البيانات إلى أن عرض النقد الواسع (M2) وصل إلى 158.11 مليار دينار في ديسمبر 2024. هذا الكم الهائل من السيولة يطارد اقتصاداً حقيقياً غير نفطي ضعيفاً، مما يخلق ضغوطاً تضخمية هائلة.
تتجلى هذه الضغوط في وجود سعر صرف مزدوج:
-السعر الرسمي: يحدده مصرف ليبيا المركزي (حوالي 5.41 دينار للدولار).
-السعر الموازي (السوق السوداء): يعكس القيمة الحقيقية للدينار وهو أعلى بكثير (حوالي 7.29 دينار للدولار في سبتمبر 2025).
هذا التشوه يخلق فرصاً هائلة للفساد والمراجحة، حيث يستفيد من يستطيع الحصول على الدولار بالسعر الرسمي وبيعه في السوق الموازية.
1.3.الإنفاق العام غير المنتج ونظام الدعم المُكلف:
يتم توجيه الجزء الأكبر من إيرادات النفط نحو الإنفاق الجاري بدلاً من الاستثمار التنموي.
-فاتورة الأجور: بلغ الإنفاق على رواتب القطاع العام 67.6 مليار دينار في عام 2024، وهو ما يمثل أكثر من 50% من إجمالي الإنفاق. يوظف القطاع العام حوالي 85% من القوى العاملة، مما يخلق عبئاً هائلاً على الميزانية ويضعف القطاع الخاص.

-نظام الدعم: يعتبر نظام دعم الوقود والكهرباء من الأكثر كلفة وعدم كفاءة في العالم. بلغت فاتورة دعم الطاقة 17 مليار دولار في عام 2024، أي ما يعادل 35% من الناتج المحلي الإجمالي. هذا الدعم لا يستفيد منه الفقراء بشكل أساسي، بل يشجع على التهريب (يقدر بنحو 30% من الوقود المستورد) ويستنزف الموارد التي يمكن توجيهها للصحة والتعليم والبنية التحتية.
1.4.الشلل المؤسسي والسياسي:
كان الانقسام السياسي والمؤسسي، وخاصة انقسام مصرف ليبيا المركزي لما يقرب من عقد من الزمان (من 2014 إلى 2023)، عاملاً رئيسياً في تفاقم الأزمة. على الرغم من إعادة توحيد المصرف المركزي في أغسطس 2023، وهي خطوة أشاد بها صندوق النقد الدولي، إلا أن غياب رؤية اقتصادية موحدة وحكومة مركزية قوية قادرة على فرض سياسات جريئة لا يزال العائق الأكبر أمام أي إصلاح حقيقي.

1.5.تحليل باستخدام معادلة التبادل:
يمكن نمذجة الوضع في ليبيا باستخدام معادلة التبادل لإيرفينج فيشر:
MV=PY
M (الكتلة النقدية): متضخمة بشكل كبير بسبب التمويل النقدي للعجز.
Y (الناتج الحقيقي غير النفطي): منكمش أو ينمو ببطء، وغير قادر على استيعاب السيولة.
P (مستوى الأسعار): مكبوت بشكل مصطنع في السلع المدعومة، ولكنه ينعكس في أسعار السلع غير المدعومة وفي سعر الصرف الموازي.
V (سرعة تداول النقود): منخفضة نسبياً بسبب اكتناز العملة الصعبة وعدم الثقة في الدينار.
النتيجة هي “تضخم مكبوت”، تماماً كما في ألمانيا عام 1948، حيث لا تعكس الأسعار الرسمية الندرة الحقيقية للسلع والخدمات.

القسم 2: المبادئ الجوهرية للنموذج الألماني: ما وراء استبدال العملة
لم يكن نجاح الإصلاح الألماني مجرد طباعة عملة جديدة، بل كان تطبيقاً حازماً لحزمة متكاملة من السياسات المستندة إلى فلسفة “الليبرالية المنظمة” (Ordoliberalism). يمكن استخلاص المبادئ التالية كنواة للنموذج:
-الإرادة السياسية والقرار الموحد: تم فرض الإصلاح من قبل سلطة موحدة (قوات الحلفاء بالتشاور مع الخبراء الألمان) قادرة على اتخاذ قرارات صعبة ومؤلمة على المدى القصير.
-العلاج بالصدمة النقدية: لم يكن هناك حل وسط. تم القضاء على الفائض النقدي بشكل شبه كامل (إلغاء 93.5% من المدخرات) لإعادة الثقة في العملة وربطها بالإنتاج الحقيقي.
-تحرير الأسعار المتزامن: أدرك لودفيج إيرهارد أن الإصلاح النقدي سيفشل دون تحرير الأسعار فوراً و هذه الخطوة سمحت للأسعار بأن تعكس الندرة الحقيقية وتوجه الموارد بكفاءة، مما قضى على السوق السوداء “بين عشية وضحاها”.
الانضباط المالي والإصلاح الضريبي: ترافق الإصلاح مع وقف تمويل عجز الميزانية من البنك المركزي وتخفيضات ضريبية جذرية لتحفيز العمل والاستثمار.
العقد الاجتماعي الجديد: لم يكن الإصلاح مجرد إجراء اقتصادي قاسٍ. لقد تم تصميمه ضمن إطار “اقتصاد السوق الاجتماعي” الذي يوازن بين كفاءة السوق والعدالة الاجتماعية، مع آليات لاحقة (مثل قانون معادلة الأعباء) لتعويض الخاسرين وضمان الاستقرار الاجتماعي.
القسم 3: خارطة طريق مقترحة للإصلاح في ليبيا: “عملية إعادة الضبط“
بتطبيق المبادئ الألمانية على الواقع الليبي، يمكن صياغة خارطة طريق متعددة المراحل تتطلب جرأة سياسية وتوافقاً وطنياً.
المرحلة صفر: الشرط المسبق – التوافق السياسي وتوحيد المؤسسات
لا يمكن لأي إصلاح اقتصادي أن ينجح في ظل الانقسام السياسي. إن إعادة توحيد مصرف ليبيا المركزي خطوة تاريخية، ولكنها يجب أن تُستكمل بتوافق سياسي وطني على رؤية اقتصادية موحدة. يجب أن تلتزم جميع الأطراف السياسية بدعم برنامج الإصلاح ومنح المصرف المركزي والحكومة التفويض الكامل لتنفيذه. هذا هو الدرس الأول والأهم من ألمانيا:
لا إصلاح بدون سلطة قرار موحدة وذات مصداقية.
المرحلة الأولى: الصدمة النقدية وإعادة توحيد سعر الصرف (خلال 3-6 أشهر)
هذه هي الخطوة الأكثر جرأة وتشابهاً مع النموذج الألماني، وتهدف إلى القضاء على تشوه سعر الصرف والفائض النقدي.
إصدار دينار جديد (أو إعادة تقييم العملة الحالية): يتم سحب جميع الأوراق النقدية الحالية من التداول وإصدار عملة جديدة.
آلية تحويل متعددة المستويات:
التحويل الأساسي للأجور والرواتب: يتم تحويل جميع الرواتب والمعاشات في القطاعين العام والخاص بنسبة 1:1 (دينار قديم مقابل دينار جديد)، لحماية القوة الشرائية ومنع الاضطرابات الاجتماعية، تماماً كما فعل الألمان.
التحويل التفضيلي للودائع المصرفية: يتم تحويل الودائع المصرفية المسجلة (حتى سقف معين، مثلاً 50,000 دينار) بنسبة تفضيلية (مثلاً 2:1)، لتشجيع الثقة في القطاع المصرفي وإعادة الأموال المكتنزة إليه.
التحويل العقابي للسيولة النقدية الفائضة: يتم تحويل المبالغ النقدية والودائع التي تتجاوز السقف المحدد بنسبة تحويل قاسية جداً (مثلاً 10:1 أو أعلى)، على غرار المعدل الألماني 100:6.5. هذا الإجراء يستهدف بشكل مباشر الأموال غير المسجلة، وثروات السوق السوداء، ويقلص الكتلة النقدية بشكل حاد.
توحيد سعر الصرف: بالتزامن مع إصدار العملة الجديدة، يتم إلغاء سعر الصرف الرسمي الحالي واعتماد سعر صرف موحد جديد يتم تحديده بناءً على أساسيات اقتصادية (مثلاً، أقرب إلى سعر السوق الموازي السابق بعد تصحيحه)، مع التزام المصرف المركزي بالدفاع عنه.
النمذجة الرياضية للإصلاح النقدي الليبي
1.المعادلة الأساسية: نظرية كمية النقود
في قلب أي تحليل نقدي تكمن “نظرية كمية النقود”، وهي علاقة رياضية أساسية تربط حجم النقود في الاقتصاد بالنشاط الاقتصادي العام ومستوى الأسعار. يتم التعبير عنها بالمعادلة التالية:

حيث أن كل متغير يمثل:
- (Money Supply) الكتلة النقدية، أي إجمالي كمية النقود المتداولة في الاقتصاد.
- (Velocity of Money) سرعة تداول النقود، أي متوسط المرات التي يتم فيها إنفاق الوحدة النقدية خلال فترة معينة.
- (Price Level) المستوى العام للأسعار.
- (Real GDP) الناتج المحلي الإجمالي الحقيقي، أي القيمة الإجمالية للسلع والخدمات المنتجة في الاقتصاد.
2.التشخيص: تطبيق المعادلة على الوضع الليبي
يعاني الاقتصاد الليبي من اختلال حاد في هذه المعادلة. الكتلة النقدية (M) تضخمت بشكل هائل بسبب تمويل العجز العام، بينما ظل الناتج الحقيقي غير النفطي (Y) ضعيفًا ومحدودًا.

هذا التضخم لا يظهر بالكامل في الأسعار الرسمية بسبب الدعم والضوابط، ولكنه ينفجر في سعر الصرف في السوق الموازي، وهو ما يُعرف بـ “التضخم المكبوت”.
3.الحل المقترح: الانكماش النقدي المتحكم فيه
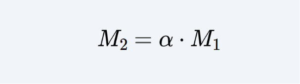
تمامًا كما فعلت ألمانيا عام 1948، الحل لا يكمن في محاولة زيادة الناتج (y) على المدى القصير (لأنه يستغرق وقتًا)، بل في تقليص الكتلة النقدية (m) بشكل جذري لتتناسب مع حجم الاقتصاد الحقيقي. يتم ذلك عبر خلق كتلة نقدية جديدة (m2) من خلال تطبيق “معامل انكماش” (a) على الكتلة الحالية.

هو القيمة الجوهرية في عملية الإصلاح. إنه يمثل نسبة التخفيض المستهدفة للكتلة النقدية. على سبيل المثال:
إذا قرر صناع السياسة أن الكتلة النقدية يجب أن تنخفض بنسبة 80% لتحقيق الاستقرار، فإن معامل الانكماش سيكون:

وبالتالي، الكتلة النقدية الجديدة المستهدفة ستكون:

4.الهدف النهائي: استعادة التوازن
بعد هذا التخفيض الجذري، تصبح المعادلة متوازنة. الكتلة النقدية الجديدة (M2) تصبح متناسبة مع الناتج الحقيقي (Y1) هذا الإجراء يزيل الضغط الهائل عن مستوى الأسعار (P) ويسمح له بالاستقرار بعد توحيد سعر الصرف. بعبارة أخرى، هو يمنع انفلات التضخم الذي كان سيحدث حتمًا لو تم توحيد سعر الصرف دون معالجة الكتلة النقدية المتضخمة.
المرحلة الثانية: تحرير الاقتصاد وإعادة هيكلة الدعم (خلال 1-3 سنوات)
هذه المرحلة توازي خطوة لودفيج إيرهارد الجريئة بتحرير الأسعار.
إصلاح نظام الدعم: لا يمكن تحرير الاقتصاد دون معالجة قنبلة الدعم الموقوتة.:
الإلغاء التدريجي لدعم الوقود: يتم رفع أسعار الوقود تدريجياً على مدى 3 سنوات لتصل إلى أسعار معقولة. على سبيل المثال، رفع سعر لتر البنزين من 0.15 دينار إلى 1.500ديناركخطوة أولي.
تطبيق برنامج تحويلات نقدية مباشرة: لتعويض المواطنين عن رفع الدعم وحماية الفئات الهشة، يتم إنشاء نظام تحويلات نقدية مباشرة وشفاف لكل مواطن و يقترح البدء بـ 350 ديناراً شهرياً للفرد في السنة الأولى، وزيادتها لاحقاً. هذا الإجراء هو النسخة الليبية من “العقد الاجتماعي” الألماني، حيث يضمن قبول المواطنين للإصلاحات المؤلمة.
تحرير التجارة والاستثمار: تبسيط لوائح الاستيراد والتصدير، وتسهيل إجراءات تأسيس الشركات الخاصة، وفتح القطاعات غير الاستراتيجية للمنافسة.
المرحلة الثالثة: الانضباط المالي والتنويع الاقتصادي (خطة خمسية)
هذه هي المرحلة التي تضمن استدامة الإصلاح وتضع أسس “المعجزة الاقتصادية الليبية”.
قانون الميزانية الموحدة: إقرار قانون يمنع تمويل العجز من المصرف المركزي، ويفرض سقفاً على نسبة الإنفاق الجاري (خاصة الرواتب) من إجمالي الميزانية، ويوجه نسبة محددة من إيرادات النفط إلى صندوق سيادي للأجيال القادمة والاستثمار في البنية التحتية.
إصلاح القطاع العام: إعادة هيكلة الجهاز الإداري للدولة، وتقديم برامج للتقاعد المبكر، وربط الأجور بالإنتاجية.
تحفيز القطاع الخاص: تقديم حوافز ضريبية للشركات الصغيرة والمتوسطة في القطاعات الواعدة مثل الزراعة، والسياحة، والطاقة المتجددة، والتكنولوجيا الرقمية.
مكافحة الفساد: تطبيق إجراءات صارمة للشفافية في الإنفاق العام والعقود الحكومية، وهو أمر ضروري لبناء الثقة محلياً ودولياً.
القسم 4: الخاتمة: هل يمكن لليبيا أن تصنع معجزتها؟
إن تطبيق خطة مستوحاة من النموذج الألماني في ليبيا ليس مجرد تمرين أكاديمي، بل هو ضرورة حتمية لإنقاذ الاقتصاد من الانهيار و التجربة الألمانية أثبتت أن الإصلاحات الجذرية والمؤلمة، إذا تم تصميمها وتنفيذها بشكل صحيح ومتكامل، يمكن أن تحقق نتائج شبه فورية وتعيد اقتصاداً منهاراً إلى مسار النمو.
ومع ذلك، فإن الفوارق بين ألمانيا 1948 وليبيا اليوم جوهرية جيث كانت ألمانيا تمتلك رأس مال بشري وصناعي كامن، ومجتمعاً متجانساً، وسلطة سياسية موحدة فرضها الحلفاء أما ليبيا، فتواجه تحديات الانقسام السياسي، وانتشار السلاح، وضعف المؤسسات.
لذلك، فإن نجاح أي خطة إصلاح اقتصادي في ليبيا يعتمد بشكل مطلق على تحقيق شرطين أساسيين غير اقتصاديين:
1-التوافق السياسي الوطني
2-المصالحة الاجتماعية
فبدون إرادة سياسية حقيقية وموحدة تضع مصلحة الوطن فوق المصالح الفئوية والجهوية، ستبقى كل هذه الخطط مجرد حبر على ورق. إذا تمكن الليبيون من تحقيق هذا التوافق، فإن الدروس الجريئة من تجربة لودفيج إيرهارد وألمانيا ما بعد الحرب تقدم خارطة طريق واضحة ومجربة نحو تحقيق الاستقرار والرفاهية للجميع.
مراجع للاستشهاد
- Eichengreen, B. (2008). The European economy since 1945: Coordinated capitalism and beyond. Princeton University Press.
- Giersch, H., Paqué, K. H., & Schmieding, H. (1992). The fading miracle: Four decades of market economy in Germany. Cambridge University Press.
- International Monetary Fund. (2025a). Energy subsidy reform in Libya.
- International Monetary Fund. (2025b). Libya: 2025 Article IV consultation-press release; and staff report.
- Libya Review & Libya Herald. (2024-2025). Various reports on the Libyan economy.
- Wallich, H. C. (1955). Mainsprings of the German revival. Yale University Press.
- World Bank. (2025). Libya economic monitor, spring 2025: Redefining the role of state-owned enterprises in Libya. https://openknowledge.worldbank.org/entities/publication/f4a4360b-de9c-49ee-8bab-7cc9d31db85c
- Central Bank of Libya. (2024). Monthly and annual reports.
الآراء والوقائع والمحتوى المطروح هنا يعكس المؤلف فقط لا غير. عين ليبيا لا تتحمل أي مسؤولية.






اترك تعليقاً